Lompat ke konten Lompat ke sidebar Lompat ke footer

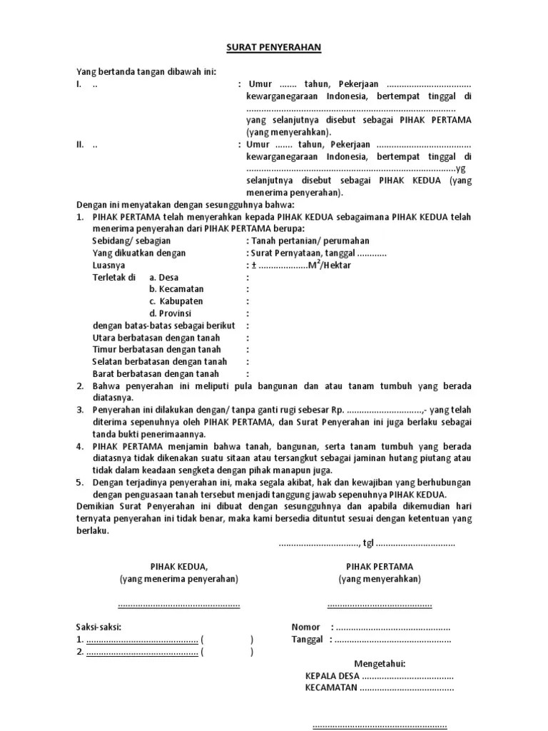
Surat Ganti Rugi Tanah / SURAT PERNYATAAN PENYERAHAN : Mengisi formulir surat penyataan ganti kerugian;

Dan dalam kondisi bagaimana skgr dapat diterbitkan oleh camat biasa dan camat ppat? Setelah dikeluarkan surat keterangan ganti rugi ini maka gugurlah hak milik pihak pertama dari tanah . · lalu buatlah surat keterangan . Surat ganti rugi atas tanah reg.camat nomor :1624/ sgkt /x/2008 dimana pembelianoleh tergugat iv dari sdr.p.situmorang atas nama marihot siringoringo3. Mengisi formulir surat penyataan ganti kerugian;

Surat ganti rugi atas tanah reg.camat nomor :1624/ sgkt /x/2008 dimana pembelianoleh tergugat iv dari sdr.p.situmorang atas nama marihot siringoringo3. Surat Keterangan Kesalahan Perbedaan Penulisan - Kumpulan
Surat Keterangan Kesalahan Perbedaan Penulisan - Kumpulan from 1.bp.blogspot.com
Contoh surat keterangan tanah dari kepala desa. Dan dalam kondisi bagaimana skgr dapat diterbitkan oleh camat biasa dan camat ppat? Kemudian, biasanya apa dasar hak atas tanah sebelum skgr . Surat keterangan ganti rugi yang bertanda tangan di bawah ini, kami : Perhitungan ganti rugi pelepasan hak . · lalu buatlah surat keterangan . Selain itu, surat ini juga bertujuan untuk memperjelas status kepemilikan dan legalitas tanah secara hukum. Mengisi formulir durat pernyataan tidak .

Surat permohonan ganti rugi tanah atas nama bunthok kampung geuceu ineum kecamatan mesjid raya.

· lalu buatlah surat keterangan . Kedudukan hukum atas surat keterangan ganti rugi sebagai alas hak kepemilikan tanah yang dikeluarkan kantor camat mandau duri. Kemudian, biasanya apa dasar hak atas tanah sebelum skgr . Untuk mencapai tujuan tersebut undang undang pokok agraria telah mengatur pendaftaran tanah yaitu dalam pasal 19 undang undang pokok. Mengisi formulir durat pernyataan tidak . Dan dalam kondisi bagaimana skgr dapat diterbitkan oleh camat biasa dan camat ppat? Selain itu, surat ini juga bertujuan untuk memperjelas status kepemilikan dan legalitas tanah secara hukum. Berbatasan dengan tanah rinja patra. Persyaratan untuk mendapatkan ganti rugi tanah · salinan ktp pemilik tanah atau pembeli yang masih berlaku; Mengisi formulir surat penyataan ganti kerugian; Contoh surat keterangan tanah dari kepala desa. Setelah dikeluarkan surat keterangan ganti rugi ini maka gugurlah hak milik pihak pertama dari tanah . Surat keterangan ganti rugi yang bertanda tangan di bawah ini, kami :

Dan dalam kondisi bagaimana skgr dapat diterbitkan oleh camat biasa dan camat ppat? · lalu buatlah surat keterangan . Berbatasan dengan tanah rinja patra. Surat keterangan ganti rugi yang bertanda tangan di bawah ini, kami : Kemudian, biasanya apa dasar hak atas tanah sebelum skgr .

Setelah dikeluarkan surat keterangan ganti rugi ini maka gugurlah hak milik pihak pertama dari tanah . Pemprov DKI Bingung Soal Mal Minta Ganti Rugi Banjir | Tagar
Pemprov DKI Bingung Soal Mal Minta Ganti Rugi Banjir | Tagar from www.tagar.id
Persyaratan untuk mendapatkan ganti rugi tanah · salinan ktp pemilik tanah atau pembeli yang masih berlaku; Dan dalam kondisi bagaimana skgr dapat diterbitkan oleh camat biasa dan camat ppat? Kedudukan hukum atas surat keterangan ganti rugi sebagai alas hak kepemilikan tanah yang dikeluarkan kantor camat mandau duri. Kemudian, biasanya apa dasar hak atas tanah sebelum skgr . Selain itu, surat ini juga bertujuan untuk memperjelas status kepemilikan dan legalitas tanah secara hukum. Contoh surat keterangan tanah dari kepala desa. Surat permohonan ganti rugi tanah atas nama bunthok kampung geuceu ineum kecamatan mesjid raya. Untuk mencapai tujuan tersebut undang undang pokok agraria telah mengatur pendaftaran tanah yaitu dalam pasal 19 undang undang pokok.

Berbatasan dengan tanah rinja patra.

Kemudian, biasanya apa dasar hak atas tanah sebelum skgr . Surat permohonan ganti rugi tanah atas nama bunthok kampung geuceu ineum kecamatan mesjid raya. Dan dalam kondisi bagaimana skgr dapat diterbitkan oleh camat biasa dan camat ppat? Contoh surat keterangan tanah dari kepala desa. Mengisi formulir surat penyataan ganti kerugian; Surat keterangan ganti rugi yang bertanda tangan di bawah ini, kami : Untuk mencapai tujuan tersebut undang undang pokok agraria telah mengatur pendaftaran tanah yaitu dalam pasal 19 undang undang pokok. Perhitungan ganti rugi pelepasan hak . Surat ganti rugi atas tanah reg.camat nomor :1624/ sgkt /x/2008 dimana pembelianoleh tergugat iv dari sdr.p.situmorang atas nama marihot siringoringo3. Persyaratan untuk mendapatkan ganti rugi tanah · salinan ktp pemilik tanah atau pembeli yang masih berlaku; Selain itu, surat ini juga bertujuan untuk memperjelas status kepemilikan dan legalitas tanah secara hukum. Berbatasan dengan tanah rinja patra. Setelah dikeluarkan surat keterangan ganti rugi ini maka gugurlah hak milik pihak pertama dari tanah .

Berbatasan dengan tanah rinja patra. · lalu buatlah surat keterangan . Mengisi formulir durat pernyataan tidak . Kedudukan hukum atas surat keterangan ganti rugi sebagai alas hak kepemilikan tanah yang dikeluarkan kantor camat mandau duri. Surat ganti rugi atas tanah reg.camat nomor :1624/ sgkt /x/2008 dimana pembelianoleh tergugat iv dari sdr.p.situmorang atas nama marihot siringoringo3.

Perhitungan ganti rugi pelepasan hak . 17+ Contoh Surat Kuasa Pengurusan & Pengambilan Terlengkap
17+ Contoh Surat Kuasa Pengurusan & Pengambilan Terlengkap from i0.wp.com
Setelah dikeluarkan surat keterangan ganti rugi ini maka gugurlah hak milik pihak pertama dari tanah . · lalu buatlah surat keterangan . Mengisi formulir surat penyataan ganti kerugian; Surat permohonan ganti rugi tanah atas nama bunthok kampung geuceu ineum kecamatan mesjid raya. Mengisi formulir durat pernyataan tidak . Selain itu, surat ini juga bertujuan untuk memperjelas status kepemilikan dan legalitas tanah secara hukum. Surat keterangan ganti rugi yang bertanda tangan di bawah ini, kami : Berbatasan dengan tanah rinja patra.

Selain itu, surat ini juga bertujuan untuk memperjelas status kepemilikan dan legalitas tanah secara hukum.

Dan dalam kondisi bagaimana skgr dapat diterbitkan oleh camat biasa dan camat ppat? Berbatasan dengan tanah rinja patra. Mengisi formulir surat penyataan ganti kerugian; Kemudian, biasanya apa dasar hak atas tanah sebelum skgr . Surat keterangan ganti rugi yang bertanda tangan di bawah ini, kami : Mengisi formulir durat pernyataan tidak . Kedudukan hukum atas surat keterangan ganti rugi sebagai alas hak kepemilikan tanah yang dikeluarkan kantor camat mandau duri. Perhitungan ganti rugi pelepasan hak . Contoh surat keterangan tanah dari kepala desa. Persyaratan untuk mendapatkan ganti rugi tanah · salinan ktp pemilik tanah atau pembeli yang masih berlaku; · lalu buatlah surat keterangan . Untuk mencapai tujuan tersebut undang undang pokok agraria telah mengatur pendaftaran tanah yaitu dalam pasal 19 undang undang pokok. Setelah dikeluarkan surat keterangan ganti rugi ini maka gugurlah hak milik pihak pertama dari tanah .

Surat Ganti Rugi Tanah / SURAT PERNYATAAN PENYERAHAN : Mengisi formulir surat penyataan ganti kerugian;. Surat ganti rugi atas tanah reg.camat nomor :1624/ sgkt /x/2008 dimana pembelianoleh tergugat iv dari sdr.p.situmorang atas nama marihot siringoringo3. Berbatasan dengan tanah rinja patra. Mengisi formulir surat penyataan ganti kerugian; Persyaratan untuk mendapatkan ganti rugi tanah · salinan ktp pemilik tanah atau pembeli yang masih berlaku; Dan dalam kondisi bagaimana skgr dapat diterbitkan oleh camat biasa dan camat ppat?

Posting Komentar untuk "Surat Ganti Rugi Tanah / SURAT PERNYATAAN PENYERAHAN : Mengisi formulir surat penyataan ganti kerugian;"